2024.04.27
출처
스튜어트 미분적분학 9판 솔루션 solution
미분적분학 9판 솔루션입니다 11장 없는버전만 가지고 계신분들이 많으시더라구요 11장만 따로도 가능합니...
스튜어트 미분적분학 9판 솔루션
스튜어트 미분적분학 공식 정리 노트(삼각함수 ~ 정적분 ~ 삼각치환) (+ 고등 기본공식)
삼각비, 삼각함수 기본 정리 연쇄법칙, 선형근사, 롤의 정리, 평균값 정리 정적분, 정적분 기본정리 정적분...
스튜어트 미분적분학
대학교 1학년 전공으로 들었던 미적분. 1학기 2학기 분량을 공부하고 예제를 풀고, 길게 휴가 다녀온 후에 ...
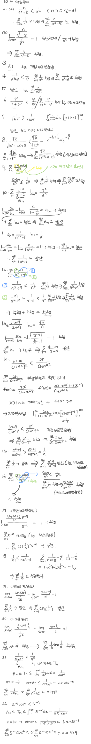
스튜어트 미분적분학 10.4장 연습문제(1-22)
스튜어트 미분적분학 10.4장 연습문제(1-22) 10.3장 연습문제 바로가기
스튜어트 미분적분학 10.5장 연습문제(1-22)
스튜어트 미분적분학 10.5장 연습문제(1-22) 10.4장 문제풀이 바로가기
스튜어트 미분적분학 9.4장 연습문제(1-36)
여자우정반지 스튜어트미분적분학
경문사 미분적분학 8판 (제임스 스튜어트) 솔루션 자료 링크 공유
오늘은 공대,자연대 학생들이라면 많은 분들이 수강하시는 미분적분학 8판의 솔루션 해설 자료를 공유하려합니다. 관련 대학 솔루션 맥머리 유기화학 9판 스쿠그 기기분석의 이해 맥그로힐 복
[스튜어트 미분적분학] 1.1절
※함수 함수는 어떤 양이 다른 양에 의해 결정될 때마다 생긴다. 함수: 집합 D의 각 원소 x를 집합 E에 ...