2024.10.22
출처
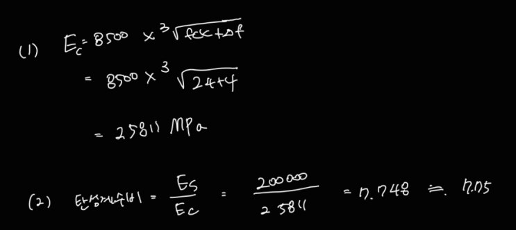
2018 제 1회 건축기사 실기, 건축구조역학 문제풀이
올리는 게 뭔 의미가 있나 싶지만서도,, 이미 한 번 시작한거 계속 업로드해보자는 마음이다. 사실 누군가...
투자의 원칙 제시 리버모어
윌리엄 오닐에 이어서 제시리버모어의 책도 전부 찾아 읽고 있다. 내가 배우고자 하는 것은 투기법이다. 오...
2016 제 2회 건축기사 실기, 건축구조역학 문제풀이
#건축구조역학 #건축기사실기 #건축기사 #건축구조 #구조역학 #건축역학
2017 제 2회 건축기사 실기, 건축구조역학 문제풀이
힝구
2017 제 4회 건축기사 실기, 건축구조역학 문제풀이
#건축역학 #구조역학 #건축구조 #건축기사 #건축기사실기 #건축구조역학
2017 제 1회 건축기사 실기, 건축구조역학 문제풀이
2016 제 1회 건축기사 실기, 건축구조역학 문제풀이
모멘트분배법 알고 있으면 된다. 문제에서는 '분배율' 구하라고 했다. 이점 주의해서 푼다. 타단...
2015 제 4회 건축기사 실기, 건축구조역학 문제풀이
한솔아카데미 도서를 참고하였습니다. (1) 간단한 문제, 콘크리트 탄성계수 공식을 알고 있으면 된다. EC...
2015 제 2회 건축기사 실기, 건축구조역학 문제풀이
2015 제 1회 건축기사 실기, 건축구조역학 문제풀이
반력구하기 b지점에서의 평형조건식 모멘트를 이용하여 a지점 반력을 구한다. 2. a 지점으로부터 x점 우측...