2024.11.14
출처
3. 난류 모델의 선택 - 난류 모델 체계와 선택 개요
모든 종류의 문제에 적용할 수 있는 뛰어난 범용적인 단일 난류 모델은 없다. 난류 모델 선택에 따라 유동 ...
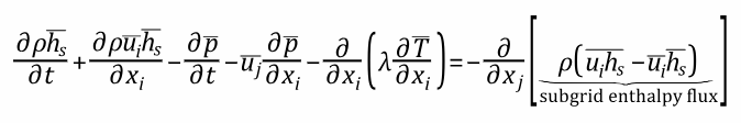
2. 난류 모델링의 기본원리2 - LES 모델 방정식과 부시네스크 접근방법
혹시 안보이는 이미지나 글자가 있다면 fluent 도움말을 실행시킨 뒤 보면 됩니다. 1. LES(Large-Eddy...
1. 난류 모델링의 기본원리1 - RANS(Reynolds Averaged Navier-Stokes) 방정식과 ANSYS Fluent에서 제공하는 난류모델의 종류
물리학자들도 손을 놓아버린 것이 유체의 난류 문제이다. 오히려 공학자들과 수학자들이 이 문제를 해결하...
2024년 네이버 해피빈 새해 첫 기부
네이버 지식인 활동과 블로그 글쓰기 등을 하면 해피빈 콩을 준다. 그 콩은 나한테는 아무 쓸모없는 거지만...
[ANSYS Thermal] 6. PCB 회로 기판의 과도 열해석 영상에 사용한 지오메트리 파일
https://youtu.be/M3Q5IF_zUMo
기계공학 분야 취업영상에 사용한 PDF 파일
https://youtu.be/a0r7YZlVzmI
원심펌프 지오메트리 파일
https://youtu.be/PgRauK-BBAk
2024년부터 새롭게 바뀌는 일반기계기사 출제 기준
2024년부터 과목이 4개(80문제)로 줄고 구조해석, 유동해석, 기계제도 부분이 필기에 추가되었습니다. 또한...
CAE 검증사 자료
니보다조금더알뿐
22. 보의 종류와 보에 작용하는 하중의 종류 및 부호 규약
1. 보의 종류 보(beam)란 단면에 비해 길이가 월등히 긴 부재를 말한다. 보는 반력의 수와 평형방정식의 개...