2024.11.17
출처
전기기사 응시조건 3.5개월 인강들으면 끝나요
안녕하세요~ 전기기사 응시조건을 3.5개월 인강듣는걸로 만들고 지금은 발급까지 받아 현장에서 근무중인 ...
전기기사 학점은행제 15주 과정으로 자격요건 갖추기
안녕하세요 전기기사 학점은행제 통해 15주 과정으로 자격요건을 갖춘 양 oo 이라고 합니다 제가 했던 과정...
전기기사 시험조건 온라인으로 쉽게 갖췄어요!
안녕하세요. 저는 30대 김정우입니다. 오늘은 제가 전기기사 시험조건을 온라인으로 쉽게 준비했던 후기를 ...
소방설비전기기사 응시자격 직장 다니면서 준비 가능!
안녕하세요! 저는 이ㅇ훈이라고 합니다! 소방설비전기기사 자격증을 취득하기 위해 학점은행제를 통해 온라...
전기기사 학점은행제 쉬운 과정으로 준비했어요!
안녕하세요. 전기기사 학점은행제 수업을 쉬운 과정으로 준비한 장OO입니다. 저는 전문 대학교를 졸업한 ...
[성수동 맛집] 성수동 핫플 맛집 수제버거 추천 ‘bd버거 성수점’
요즘 팝업의 성지로 떠오른 성수동을 자주 가고 있다. 생방송투데이 tv방송에도 나온 고추냉이통통새우버거...
중랑구 사가정 면목동꽃집 _ 꽃을닮다루체테플라워
이제는 가을이 가버리고, 몸이 자연스럽게 움츠러드는 추운 겨울이 코앞까지 다가왔다. 이럴때일수록 집안...
성수 서울숲 맛집, 성수 한우 _ 소와나
찬바람이 슝슝 불때는 건강관리를 잘해야하므로 잘 먹어야 한다. 한창 병치레를 하고 나니 고기, 유독 소고...
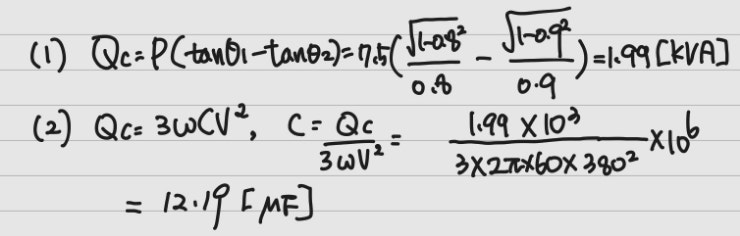
(종합) 23년 2회 전기기사 실기 기출 단답
1. 전동기 부하를 사용하는 곳의 역률 개선 문제 전동기 부하를 사용하는 곳의 역률 개선을 위하여 회로에 ...
2025년 전기기사 시험일정, 응시자격 확인 후 준비하기!
안녕하세요 오늘은 전기기사 자격증을 취득하기 위해 열심히 준비하시는 분들 반갑습니다~ 저는 학점은행제...