2024.12.03
출처
241106 춥다
한국의 가을은 10월 4주차부터 11월 1주차까지 딱 2주구나. 바깥이 왜이리 춥나 했더니 기온 엄청 떨어졌다...
241104 오풋완
오늘 풋살 완료~~ 스트레칭을 완벽하게 하니 확실히 몸이 좀 더 잘 움직인다. 지난번엔 시간 딱 맞게 도착...
올리브영 미스트 내돈내산 추천, 달바 미스트세럼 건성피부에 정말 좋을까?
어느덧 11월이 되어 올리브영의 블랙프라이데이 할인이 시작되었다! 올리브영 블랙프라이데이기념으로 올리...
241103 잠실 뉴 북 토스트마스터즈 / 독서모임 / 이처럼 사소한 것들 / 클레이 키건
잠실 뉴 북 토스트마스터즈 두번째 방문. 이번 주의 책은 클레이 키건의 이처럼 사소한 것들. 혼자 책을 읽...
241103 치과 전자시계
어제 거리 지나다가 갑자기 궁금해져서 기록. 치과나 병원 외장에 전자 시계가 배치된 경우가 많은데 사람...
241102 안과 진료
주말 날씨 끝내준다. 오늘 아침에 일어나자마자 갑자기...! 오전에 안과 진료 잡았다는 것이 떠올랐다. 어...
241101 늦은 할로윈 기념 / 삼체
어제 저녁으로 만든 계란 단호박찜과 구운 알배추 샐러드. 할로윈이라 호박 눈 만들어줄랬는데 넘 작아서 ...
241101 여의도 토스트마스터즈(YTM) 참석
드디어 홈 클럽인 여의도 토스트마스터즈로 돌아갔다. 사족이지만, 오랜만에 사람들을 보니 I missed you ...
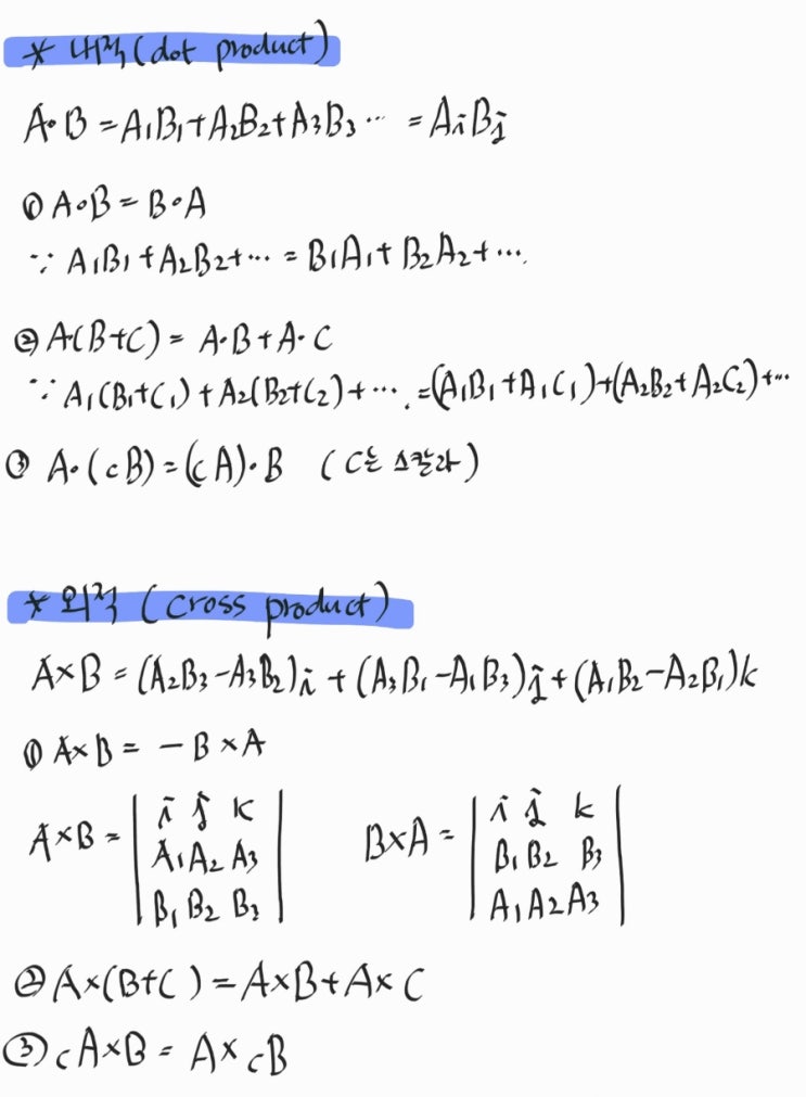
Vector Calculus for Engineers - 8. 벡터 항등식
일시: 2024/10/30(수) 오후 7-9시 Week 1. Vector Lecture 08 | Vector identities 이번주는 벡터 내용...
241029 양꼬치.. 맛있다
저녁으로 먹은 양꼬치 최근에 먹은 것 중에 제일 맛있었다. 서비스도 많이 주시고, 직원 분도 왕친절하심. ...