2024.12.07
출처
[14] 명사절의 이해
UNIT 4-5 관계대명사 what이 이끄는 절 관계대명사 what ① 명사를 수식하지 않음. ② what 뒤에 명사...
[15/다항식] 조립제법, 인수분해
1. 조립제법 2. 인수분해 공식 3. 공통부분이 있는 다항식의 인수분해 #수능 #노베이스 #1등급 #상위권
[14/다항식] 항등식의 활용, 나머지정리, 인수정리
1. 항등식의 활용 기존에 하던 방법 수의 나눗셈과 똑같이 계산한다. = 직접 나누기 ? 항등식 활...
[11/다항식] 복잡한 식의 인수분해, 다항식 심화
1. 복잡한 식의 인수분해 (1) - 치환과 대입 ☞ (x+1)2 + 2(x+1) +1 를 인수분해 하시오 ① (x+1) 를 A로 ...
[12/다항식] 곱셈공식, 역수의 합
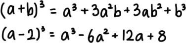
1. 항 2개의 세제곱 Q. (a+b)3 를 전개 ⓐ 앞에 항을 3번 곱한다 → a3 ⓐ 제곱수와 앞에 항 2번, 뒤에 항...
[13/다항식] 역수의 합, 다항식의 나눗셈, 항등식, 미정계수
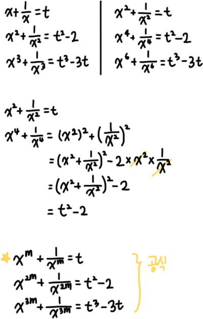
1. 역수의 합 역수의 합을 t라고 했을 때 지수가 2배인 역수의 합은 t2 - 2 지수가 3배인 역수의 합은 t3 -...
[09/다항식] 곱셈 공식의 변형, 인수분해란?
1. 제곱의 합 쉽게 외우는 팁 명칭을 아래와 같이 부른다. x + y : 합 x - y : 차 xy : 곱 x2 + y2 : 제곱...
[10/다항식] 인수분해
1. 인수분해 공식 (1) - 완전제곱식을 이용한 인수분해 x2 - 8x + 16 이차항도 제곱이고, 상수항도 제곱일...
[07/다항식] 지수, 다항식의 덧셈과 뺄셈
1. 지수 ① [ 곱할 때 ]는 지수끼리 더한다. a2 × a2 = a4 a × a3 = a4 a × a4 × a6 = a...
[08/다항식] 곱셈공식
1. 완전제곱식 곱셈 공식 (1) - 완전제곱식 (a+b)2 = (a+b)(a+b) ⓐ 앞에 a부터 분배해서 계산...