2024.12.28
출처
10월 대장정 마무리
업무 와... 10월, 진짜 힘들었다. 그래도 며칠 정도는 쉬었지만, 이번에 정말 힘들었던 것 같다. 31일부로!...
24년 10월 일상, 업무 등
10월도 끝이네요. 저는 뭐.. 재택근무라.. 여전히 집에서 짱박혀서 일만 하던 시간이었습니다. 9월과 10월...
전자책 구매 감사드려요 ^^
작년에 번역을 그만둘줄 알고, 전자책 두 개를 냈었는데요, 요새 번역 작업이 너무 바빠서 사실상 책 제작...
9월 먹은 거, 기타 일상 및 잡담
10월 2일. 갑자기 추워졌다. 언빌러버블. 아침에 간만에 체육관에 가는 길에 얼어 죽는줄 알았다. 그래도 ...
놀라운 뇌의 기억력 | 잡담이지만
A 회사에 이메일을 쓸 때는 항상 한글로 담당자님 안녕하세요, 라고 한 다음 프로젝트명을 영어로 쓰면서 ...
성악일지 | 믿음의 고백 MR 반주
나으 취미생활, 성악. 발성법은 혼자 다 애쓸 필요 없고 그냥 레슨을 받으면 되더라. 성악을 배우니까 스트...
남편과 추석 막바지 및 기타등등
남편 이야기 이번 추석은 집콕의 정수를 찍은 기간이었다고 할 수 있다. 양가는 미리 다녀왔는데, 늙은 우...
환멸에 대한 생각
글을 쓰면 좋은 점은 논리를 정리할 수 있다는 것이다. 그래서, 갑작스럽게 나를 괴롭게 하는 생각들이 뒤...
수식과 쓸데없는 소리
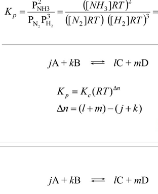
아들이 자기가 풀고 있는 수식을 보내줬는데, 이걸 보니까 갑자기 수학이 공부하고 싶어졌다. 학교 다닐 때...
합창 일상 등 근황
번역일지를 안쓰니까 더 할 말이 없어졌네요. 소식을 한 번씩 알려드리는 게 좋을 것 같아서 오늘 간만에 ...