2025.01.18
출처
평균분산추출, AVE, Average Variance Extracted
평균분산추출, AVE, Average Variance Extracted는 구조방정식 모델(Structural Equation Modelin...
상도 14, 15구역, 고척, 가리봉동 등 신통기획 정비구역 지정
연합뉴스 오늘(2024. 12. 25)자 뉴스에 의하면 상도 14, 15구역, 고척, 가리봉동 등 신통기획 정비구역 지...
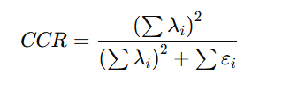
복합신뢰도, CCR (Composite Construct Reliability)
복합신뢰도, CCR (Composite Construct Reliability) 확인적 요인분석(CFA) 결과를 바탕으로 잠재...
감자 고추장 찌개
감자를 적당 크기로 썰어서 준비한다. 양파 반개를 감자크기로 썰어서 준비한다. 청양고추와 대파, 마늘 5...
영양 봉감에 있는 오층전탑 (국보)
영양 봉감에 있는 오층전탑 (국보 187호) 경북, 영양군 입암면 산해리 391-6번지 Five-story Stone Bric...
평화
마음의 평화 제가 알던 어느 순박한 분은 “속시끄러운 걸 싫어하셨다.” 요즈음 내게는 속 시끄러운 일이 ...
덕구온천
울진에 있는 "덕구온천"은 전국 온천 중 유일하게 개발된 자연용출수 온천입니다. 덕구온천 자연...
Van Kaam의 현상학적 질적연구방법
Van Kaam의 현상학적 질적 연구방법(phenomenological qualitative research method)은 현상학적 접근을 ...
Harvest Plot
코크란 가이드 라인 vote counting results risk of bias = 막대기가 클수록 좋다. 김진형 교수님의 ...
누구든지 자신의 삶을 자기 방식대로 살아가는 것이 바람직하다.
누구든지 자신의 삶을 자기 방식대로 살아가는 것이 바람직하다. 그 방식이 최선이어서가 아니다. 자기 방...