2025.03.05
출처
[정수론] IV. 위수와 이차잉여 - 1. 위수 (Order of an Integer)
교수님의 설명이 너무 어려울때 들어와! 수업때 자체공강하거나 졸아버린 이들을 위해 등장했습니다. 빠르...
[골디리] 강아지 영양만점 자연식 밥상 #강아지수제사료
#강아지수제사료 #강아지화식사료 #골디리 안녕하세요! 밍밍이임미다 :) 오늘 구매한 제품은 바로 요거! 골...
[250211-도서] 땅과 환경 그 너머…놀랍도록 재미있는 지리의 세계
‘지리로 다시 읽는 자본주의 세계사’ 한국 등 10개국 지리·역사적 사건 다층·상호관련적 관점서 훑어봐 ...
[정수론] III. 수론적 함수 - 3. 뫼비우스 반전 공식 (Möbius Inversion Formula)
지리로 읽는 세계사 지식55(2022) - 세키 신코
지리와 지형 중심으로 쉽고 간결하게 세계사 지식을 습득할 수 있는 책 공간지각력이 부족해서 늘 지리와 ...
지리로 읽는 자본주의 세계사
책 소개 세계경제는 지금 어디로 가고 있는가? 자본주의가 어떻게 생겨나 변화해 왔는지, 지리적 관점에서 ...
46. 돛
세상의 흐름은 바다와 같고 바람은 기회와 같다. 바람은 종종 큰 파도를 만들고, 뗏목으로 항해하는 우리는...
광범위한 활용 송학운 김옥경의몸을 살리는 자연식 밥상365, 송학운, 김옥경, 수작걸다
광범위한 활용 송학운 김옥경의몸을 살리는 자연식 밥상365, 송학운, 김옥경, 수작걸다 1. 송학운 김옥경의...
지리로 다시 읽는 자본주의 세계-이동민, 갈매나무출판사
※해당 출판사로부터 무상으로 도서만을 협찬받아 솔직하게 작성했으며 블로그에 서평을 올릴 의무는 없습...
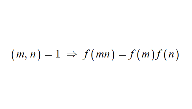
[정수론] III. 수론적 함수 - 2. 산술함수 (Multiplicative Functions)