2025.03.05
출처
어린이집 낮잠이불 크림덕 귀엽고 소재도 좋은 조카선물 곰돌이 낮잠이불세트 내돈내산 후기
아이를 엄청나게 좋아했던 나는 내 딸을 낳고 키우면서 더이상 애를 안좋아하게됐는데 ㅋㅋㅋㅋㅋㅋㅋ (애 ...
[센텀시티명작]에이급수학3-1
명작수학에서 에이급수학 과정을 진행을 하고있는 차민규 T 입니다. 아래 글은 에이급수학 3-1 과정에 대...
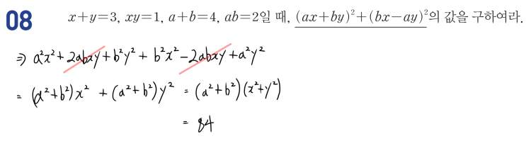
개념원리rpm 83
명작수학차민규
2024양운고1-1중간 8 12 서4
고1_2018_6월_30
쎈 878
수학의바이블개념on07여러가지방정식_실력다지기_19
에이급수학 3-1 2단원 B step
06도함수의 활용
바이블 쎈
2018 고1 6월 30번