2025.06.21
출처
미분적분학인강 수학의 기초부터 심화까지 완벽 정복하기
미분적분학인강 수학의 기초부터 심화까지 완벽 정복하기 미분적분학은 수학의 중요한 분야로, 많은 사람들...
[전기자기학] 00강 (1) ~ (2) 원자의 구조와 전하량, 기초수학, 삼각함수, 미분적분학
전자기사 등록했으니까 다 까먹은 전기자기학 시작해야징 ㅋㅋ 인강은 예전에 재우님이 추천해줘서 들었던 ...
미분적분학 인강, 쉽게 이해할 수 있는 방법 소개할게요
미분적분학은 많은 학생들에게 어렵고 복잡하게 느껴지는 과목이에요. 저도 처음에 이 과목을 접했을 때는 ...
Calculus(Metric Edition)-9/E (미분적분학 원서)
교재리뷰 이번 시간은 Calculus(Metric Edition)이다. Calculus(Metric Edition) 9/E로 9번째 개정...
미분적분학 인강의 장점과 강의
친구에게 미분적분학 인강에 대한 이야기를 들었어요. 처음에는 이 과목이 어렵게 느껴졌지만, 좋은 강의를...
대전 둔산동 소곱창 전문점 '곱창이야기' 내돈내산 후기
비가 추적추적 오는 날 ! 갑자기 곱창이 땡겨서 #곱창이야기 로 고고!! 체인점이라 여기저기 많아서 한번쯤...
[미분적분학] 94. 구면좌표계와 삼중적분
직교좌표계는 (x, y, z)라는 원점에 떨어진 거리를 이용해서 점을 나타내고 원주좌표계는 (r, θ, z)로 극...
[미분적분학] 93. 원주좌표계와 삼중적분
2차원에서는 극좌표계를 도입할 수 있었다. 마찬가지로 3차원에서는 원주좌표계나 구면좌표계가 있었다. 원...
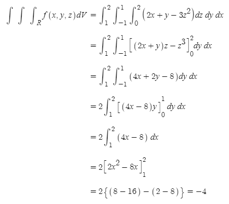
[미분적분학] 92. 삼중적분 문제풀이
ex1) 영역 Q={ (x, y, z) | 1≤x≤2, -1≤y≤1,0 ≤z≤2} 에서 f(x, y, z)=2x+y-3z2의 삼중적분...
[미분적분학] 91. 삼중적분
삼중적분은 어떻게 정의할까? 여태까지 배웠던 것과 똑같다. 삼중적분(triple integral)의 정의 함수 f(x, ...