2025.06.21
출처
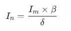
KEC 전동기 차단기 정격전류 선정 예시
예시 조건: 전동기 종류: 3상 유도전동기 전동기 출력: 11kW 정격 전압: 380V 운전 전류 (정격 전류, Im...
아파트 공통접지 공사 전기감리원 점검 사항
1. 설계도서 및 시방서 확인: 최신 KEC 규정 준수 여부: 설계도서가 KEC 2022년 이후 개정된 최신 규...
내돈내산 공병리뷰 아누아, 빌리프
본인 피부타입. 늘 지성이었고 지성일 것이고 지성이다. 염증에 취약해서 라면 먹으면 바~로 뾰루지 하지만...
피부잡티 기미 토너패드 비교 아누아 셀리맥스 내돈내산
피부잡티 토너패드 추천 아누아 vs 셀리맥스 비타민 토너패드 글 / 사진 © 뷰티캔두 요즘 날씨가 애매하게 ...
여름 모공잡기 대작전 아누아 어성초 피지쏙 모공폼으로 묵은각질 피지 박멸하기
안녕하세요 여러분~ 땀 많고 더위 많이 타는 흥청망청릴리입니다. 저는 여름만 되면 갑자기 넓어지는 모공 ...
수부지의 올리브영 추천템 (풀리 팩클렌저/라운드랩 독도토너/아누아 세럼/라로슈포제 크림/넘버즈인 파우더)
트러블이 자주 올라오는 수부지의 피부 극복기... 피부가 아주 꿀피부는 아니지만 그래도 피부가 평균치보...
지하주차장 조명설비 디밍 제어 시스템
지하주차장 디밍 제어 시스템은 단순히 조명을 켜고 끄는 것을 넘어, 조명의 밝기를 섬세하게 조절하여 에...
아파트 지하주차장 조명제어 시스템
아파트 지하주차장은 단순히 차량을 주차하는 공간을 넘어, 주민들의 안전과 편의를 책임지는 중요한 시설...
아파트 지하주차장 조명제어 시스템의 특정 기능 심층 분석
1. 지능형 센서 기술: "똑똑한 눈"으로 움직임을 감지하다 조명제어 시스템의 핵심은 정확한 움...
올영 압도적 1위 아누아 PDRN 히알루론산 캡슐 100 세럼/올영 쟁여템
올영 쟁여템 으로 유명하죠 3초 수분 플럼핑 으로 광채피부를 만들어 주는데요 저분자 콜라겐도 함유되어 ...