2025.06.24
출처
시간을 찾아드립니다 / 애슐리 윌런스
저는 시간 관리/생산성에 관심이 많습니다. 이 책은 저자가 자신의 경험과 연구를 바탕으로 개인의 시간 관...
미분.8 - 도함수의 도함수
함수는 고차로 갈수록 그리기가 힘들어집니다. 그러나 미분을 사용하면 그리기가 아주 쉬워집니다. 그래서 ...
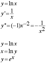
미분.9 - 지수함수의 미분(1)
자연로그함수부터 시작해봅시다. 자연로그를 미분해보고 자연로그의 x와 y를 바꾼식(즉, 역함수)의 도함수...
미분.10 - 지수함수의 미분(2)
y=x^x를 미분해봅시다. 그럼 아주아주 복잡한 함수를 미분해보겠습니다. 물론, 로그...
적분.7 - 자연로그
지난번에 거듭제곱의 법칙을 설명 했습니다. 여기에는 한가지 모순점이 있다고도 말했는데요, 그것에 대해 ...
적분.6 - 정적분의 몇가지 성질
뭐 간단하게 하겠습니다.ㅋ 다 중요하지만 5,6번이 '적분.7' 에서 사용 될것 ...
적분.5 - 적분과 넓이
흔히 적분 이라 함은. 넓이 라는 개념이 먼저 와 닿습니다. 실제로 적분은 그래프 아래의 면적과 아주 밀접...
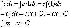
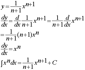
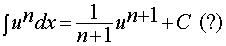
적분.3 - 완전적분의 법칙과 거듭제곱의 법칙
완전적분의 법칙과 거듭제곱의 법칙에 대하여 알아보겠습니다. 여기서 c는 상수이며, 피적분...
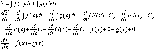
적분.2 - 합의 법칙과 상수곱의 법칙
적분의 합의 법칙과 상수항 곱의 법칙에 대해 알아봅시다. 두 함수의 합인 함수의 적분값은 ...
적분.4 - 치환적분법
음.. 이것은 미분의 연쇄법칙과 흡사한 면이 있습니다. 우선 다음의 경우를 보겠습니다. &nbs...