2024.03.26
출처
맥머리 organic chem 피어슨 정역학 11판 솔루션 r.c. hibbeler 에듀케이션코리아 미분적분학 교우사 솔루션
받으세요 먼저 소개할 파일은 대략 1,383페이지짜리 압축파일(ZIP) 로 작성된 McMurry Organic Chem...
[미분적분학] 삼각치환법
#미분적분학 Trigonometric Subtitution, 삼각치환법으로 번역되는 AWESOME한 적분 Tool을 알아...
[미분적분학] 비판정법 (Ratio Test)
#미분적분학 많은 학생들이 급수의 수렴/발산에 대해 질문합니다. 그다지 어려운 문제들이 아닌데도 아예 ...
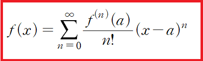
[미분적분학] 테일러 급수전개
#미분적분학 테일러 급수전개는 미분방정식을 공부하면서도 나오는 내용이고, 어떤 값을 근사하는 데도 사...
[미분적분학] 벡터함수의 미분
#미분적분학 이건 스칼라함수고 이건 벡터함수다. (i) 벡터함수의 미분 오늘은 벡터함수의 미분에 대해 알...
[9.17] 교육사 발제, 미분적분학, 과방 화분 등등
1. 지금은 관정! 이제 슬슬 졸려서 노트북으로 노래를 듣고 있었다. 아이유의 Dear moon. 요즘 자주 듣는...
[사수소시] 연세대학교 사이버 강의를 들어보고서 _ 20세기영시, 온라인미디어분석, 미분적분학
수소시: 연세대학교 수업 소개 시리즈 외전 연세인의 사이버 강의를 '들어보고서' 안녕하세요~ ...
여름 계절학기 미분적분학
이번 여름방학 한 달이 벌써 순식간에 사라졌는데 3주동안 계절수업을 듣느라 정신이 하나도 없었다. 사회...
대학교 미분적분학 서론
대학교 미분적분학 교재로는 Stewart, Thomas, Spivak, Apostol 등이 유명하다. 일부 학교에서는 자체 ...
미분적분학 (Calculus) - 1. 함수의 극한과 연속
* 미분적분학 (Calculus) - 1. 함수의 극한과 연속 (이 부분은 고등학교에서 다루는 미적분과 큰 차이가 ...