2024.03.26
출처
[스토리텔링수학/초등학교 4학년] 직각을 그리는 방법
[스토리텔링수학/초등학교 4학년] 직각을 그리는 방법 안녕하세요? 목동수학학원...
[스토리텔링수학 수학동화] 원을 그리는법! 동그라미를 표현해보자구~~ (49m)
요즘 서연이가 숫자에 관심이 제법 많더라구요. 집에서 아직까지는&nb...
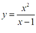
기본정석 11-18 분수함수 그래프. (고1 수학으로 미분없이 그리는 법)
기본정석 11-18 분수함수 그래프. (고1 수학으로 미분없이 그리는 법) 수학에서는 가분수를 ...
[수학 그래프] 수학 그래프 그리는 프로그램 지오지브라(무료)
&nbs...
[연작 베이스프렙 내돈내산] 화잘먹 청담샵 베이스 면세반값 후기
안녕하세요~ 휘또리입니다 :) 오늘은 연작 베이스프렙 내돈내산 후기입니다. 정말 청담동 샵에서 안쓰는 곳...
라오스 4박6일 여행 Day1 : 인터넷 면세점 추천템 / 방비엥 인티라 호텔 / 방비엥 로띠 맛집 / 비어라오
환전 공항 수령으로 신청해 놓고 떠납니다 인천공항으로!!! 나의 3번째 라오스 여행 두근????...
샌드카운티, <이세계로 가는 문 연작 1>, 2024
안녕하세요? 오랜만입니다 알고 계신 분도 계실 테고 모르시는 분들도 계시겠지만 제가 3월 5일부터 10일까...
[데이지크 섀도우 팔레트] 한정수량 무료증정 / 연작 베이스프렙
안녕하세요~ 휘또리입니다 :) 오늘은 현대면세점에서 휘또리가 직접 내돈내산으로 구매한 면세 뷰티템리스...
피부속건조 앰플 : 화잘먹 피부 만들어주는 '연작 전초 컨센트레이트'
안녕하세요 ssoladore에요:) 제가 면세점에서 꼭꼭 싸는 필수템이 있는데요? 악건성, 민감성 피부인 저에게...
오토비 블랙박스 AZ100 32G 전후방 FHD DIY장착설명서 초절전 전후방HDR 무료UP 무상AS 추천
오토비 블랙박스 AZ100 32G 전후방 FHD DIY장착설명서 초절전 전후방HDR 무료UP 무상AS 2...