2025.10.11
출처
삼각함수의 극한 확인하기
삼각함수의 극한에서 가장 기본이 되는 꼴 두 가지 이에 대한 확인은 샌드위치 정리로 할 수 있다. * 샌드...
지수,로그함수 그래프 개형을 통한 극한의 직관적 이해
고등학교 과정에서의 극한은 직관적으로 이해해야한다. 정확하고 엄밀하게 증명을 하려해도 가장 기본적인,...
고딩수준에서 급수의 수렴, 발산 판정하기
15개정 교육과정은 마음에 들지 않는 부분이 조금 많은데 그 중에서도 맘에 안드는 Best 3중 하나가 이거...
원의 접선의 방정식
원 한 점으로부터 일정한 거리만큼 떨어진 점들의 집합 이때, 한 점 = 원의 중심, 일정한 거리 ...
순열과 조합에 대한 이해
짧은 교사 생활 내내 확률과 통계는 거른 적이 없이 가르쳤다. 덕분에 학창시절부터 제일 싫어하던 확통을 ...
중복조합 이해하기
순열과 조합에 이어 계속해서 상황판단을 하자면 이번엔 중복을 허용해서 카운팅하는 경우이다. 순열과 조...
단위원 상에서 삼각방정식, 삼각부등식 풀기
삼각함수를 들어가고 그래프의 개형을 익히면 삼각방정식과 삼각부등식을 풀이하는 문제를 접한다. 삼각함...
사인법칙 간단하게 이해하기
수학 공식은 암기해야 하는 부분이 분명 있지만 암기하지 않고도 '스스로' 생각해낸 경험이 있다...
tan(x) 주어졌을 때 sin(2x)
삼각공식은 잊지말고 머리와 손이 둘다 익히도록 하는게 좋다. 선이해 후암기가 바람직하지만 스피드에선 ...
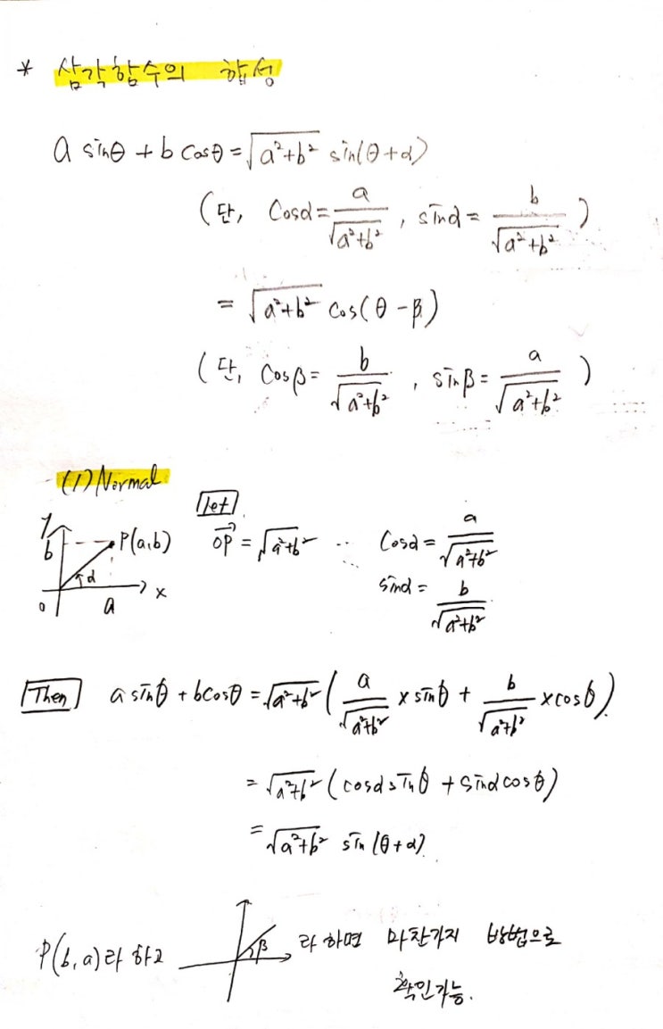
삼각함수의 합성 공식 확인하기
삼각함수의 합성 공식은 알아두면 짱 편하구 좋음. 09개정까지는 교과서에 명칭은 없어도 문제로 나와서 설...