2025.01.18
출처
CCUS 의미
CCUS는 Carbon Capture, Utilization, and Storage의 약자로, 탄소 포집, 활용 및 저장 기술을 의...
TV조선 대학가요제
TV조선 대학가요제 노래들이 너무 좋아서 다시 듣기 위해서 유튜브 URL 저장해 둡니다. 제 귀에는 감...
닭다리 조림
닭다리 조림 합니다. 먼저 닭만 넣고 식용유 약간 두르고 구워줍니다. 건고추, 월계수잎, 양파, 고추, 마늘...
내생변수 외생변수
내생변수와 외생변수는 연구 설계와 모델링에서 사용되는 용어로, 종속변수와 독립변수와 유사하지만 약간...
강화도
강화도는 서울에서 하루 여행으로 갈만한 곳입니다. 강화도는 한국의 역사와 자연을 동시에 경험할 수 있는...
닭고기 오향장육
닭고기 오향장육 오향장육이란? 돼지고기나 소고기, 닭고기 중 기름기 적은 부위를 여러 향신료를 넣고 삶...
개념도 연구방법
개념도 연구방법은 연구나 학습 과정에서 아이디어, 개념, 또는 정보를 시각적으로 구조화하고 표현하는 방...
대학가요제 최여원 "찻잔"
대학가요제 최여원 "찻잔" 너무 멋진 최예원의 찻잔 (1647) [대학가요제/풀버전] 최여원 ‘찻잔&...
펜타클의 "못다핀 꽃 한 송이"
펜타클의 "못다핀 꽃 한 송이" 왜캐들 노래를 이렇게들 잘하지? (1647) 첫 소절부터 소름이 쫙 ...
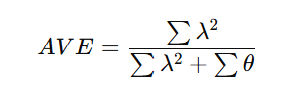
평균분산추출, AVE, Average Variance Extracted
평균분산추출, AVE, Average Variance Extracted는 구조방정식 모델(Structural Equation Modelin...